Majova 2172 - 1.8 6q
Moderátor: Moderátoři
Re: Majova 2172
ano, do klasiky by pasoval lepsie. Do Priory sme museli pouzit malu Priora spojku a prerabat zotrvak. A pasoval len vdaka tomu, ze Priora prevodovka ma pripravu na stary Lada motor(dve rozne roztece sroubov). Do klasiky by sadol jednoduhsie... Ale zase by zasahovala hlava(vyvod na vodu atd) do kurenia.
21043(reinkarnacia), 2105 1.3k(svagrov), 2110 1.5 16V, Niva(rozobrata), Chevy Niva 1.7i, Priora1,8+, BMW e36 328iA, Fiat Tempra 2.0i.e, 4x4
- ger007
- Příspěvky: 4785
- Registrován: úte kvě 06, 2008 13:38
- Bydliště: NMnV - Brno
- Kontaktovat uživatele:
Re: Majova 2172
jaaaj to by som mal len letne auto, to nechcem ... a to by sa tam nedalo neako poliecit tak ako na motore 2108X ?
Be better, not second best
if not better, be different
LADA !
1x2104X 16V, 1x 21044, 2 x 1111, 1xB210, 1xJawa550, 1x Toyota Avensis T25

детские игрушки
if not better, be different
LADA !
1x2104X 16V, 1x 21044, 2 x 1111, 1xB210, 1xJawa550, 1x Toyota Avensis T25

детские игрушки
- Tommel
- Příspěvky: 3287
- Registrován: pon pro 20, 2004 10:44
- Bydliště: Brno - HK
- Kontaktovat uživatele:
Re: Majova 2172
Žigulacky 16V už nestači ?ger007 píše:jaaaj to by som mal len letne auto, to nechcem ... a to by sa tam nedalo neako poliecit tak ako na motore 2108X ?

Chatka 12 forever
. Buková drift challenge team. Aerodynamika je pro ty, co neumí ladit motor.
Nové vozy Lada, UAZ, GAZ, Kamaz z Ruska

Nové vozy Lada, UAZ, GAZ, Kamaz z Ruska
Re: Majova 2172
vsetko sa da, len neviem ci to za to stoji....
21043(reinkarnacia), 2105 1.3k(svagrov), 2110 1.5 16V, Niva(rozobrata), Chevy Niva 1.7i, Priora1,8+, BMW e36 328iA, Fiat Tempra 2.0i.e, 4x4
Re: Majova 2172
Daj to do oky na zadne sedadla 

Lada 2171 Priora 1,6 MPi (2013), Lada 2105 v regenerácii (1985), Lada 21044 1,9 MPi (1998), Škoda Felícia 1,3 SPi - 40kw (1996), 2 x Babetta 210 (1984,1988), Simson 70 ccm (1989), Zetor 4011 (1966)
Re: Majova 2172
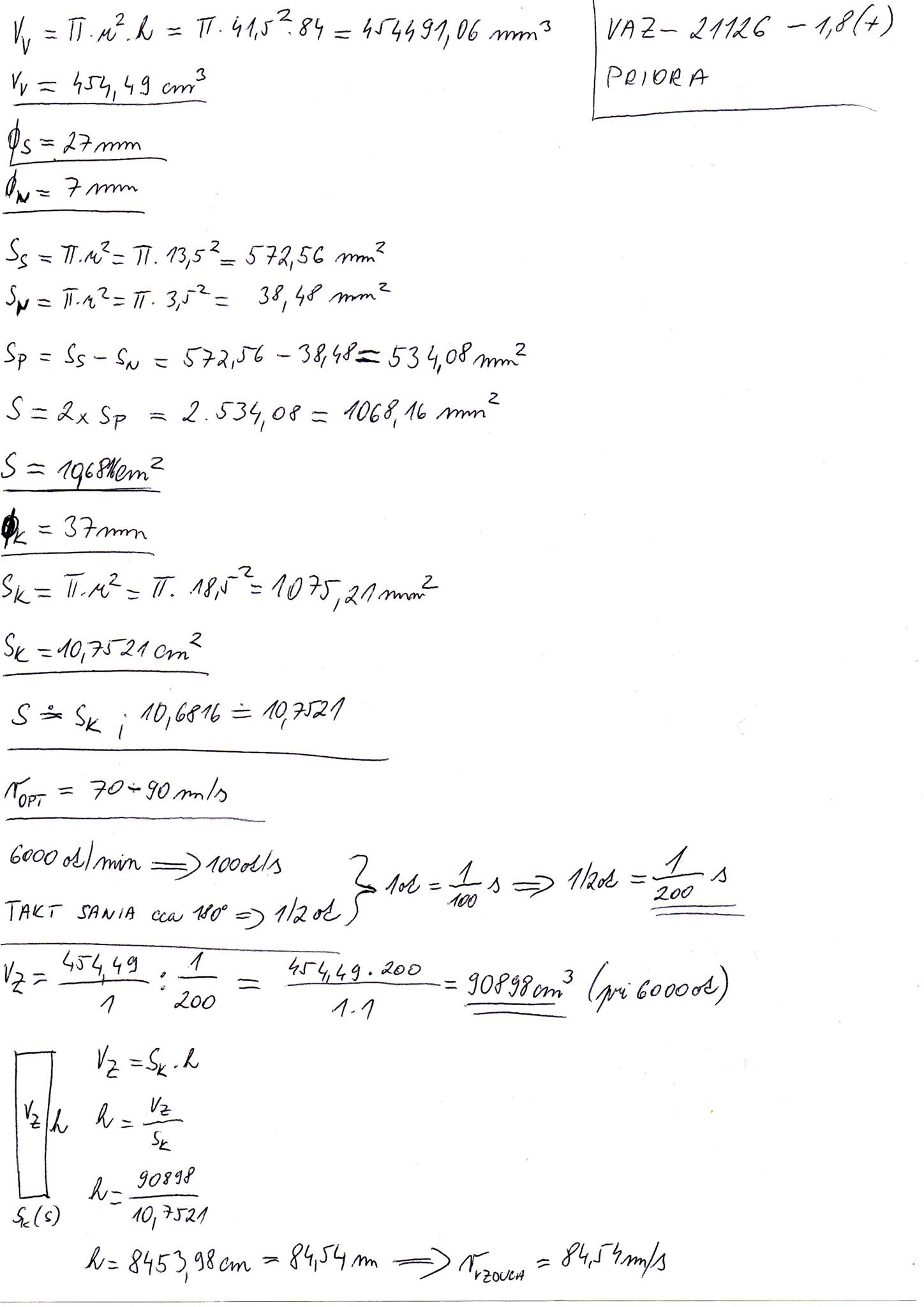
A je to tu. 84mm kľuka, 83mm piesty, H-čkové ojnice k tomu a už tomu chýba len výbrus:-)
21043(reinkarnacia), 2105 1.3k(svagrov), 2110 1.5 16V, Niva(rozobrata), Chevy Niva 1.7i, Priora1,8+, BMW e36 328iA, Fiat Tempra 2.0i.e, 4x4
Re: Majova 2172
Ako keby som to uz niekde videl 

Lada 2171 Priora 1,6 MPi (2013), Lada 2105 v regenerácii (1985), Lada 21044 1,9 MPi (1998), Škoda Felícia 1,3 SPi - 40kw (1996), 2 x Babetta 210 (1984,1988), Simson 70 ccm (1989), Zetor 4011 (1966)
Re: Majova 2172
skoro ako keby to bolo fotene u Teba, vsak?
no... zabava na dlhe zimne vecery zacala:

no... zabava na dlhe zimne vecery zacala:
21043(reinkarnacia), 2105 1.3k(svagrov), 2110 1.5 16V, Niva(rozobrata), Chevy Niva 1.7i, Priora1,8+, BMW e36 328iA, Fiat Tempra 2.0i.e, 4x4
Re: Majova 2172
Mal by si sa poponahlat, pretoze noci sa už skracujú 

Lada 2171 Priora 1,6 MPi (2013), Lada 2105 v regenerácii (1985), Lada 21044 1,9 MPi (1998), Škoda Felícia 1,3 SPi - 40kw (1996), 2 x Babetta 210 (1984,1988), Simson 70 ccm (1989), Zetor 4011 (1966)
Re: Majova 2172
fuha, za 373dni som nedokazal ani dolestit zvysne 3 ojnice.... asi by som si mal najat menezera na organizaciu casu 

21043(reinkarnacia), 2105 1.3k(svagrov), 2110 1.5 16V, Niva(rozobrata), Chevy Niva 1.7i, Priora1,8+, BMW e36 328iA, Fiat Tempra 2.0i.e, 4x4
Re: Majova 2172
Myslim, ze moj predchadzajuci prispevok je aktualny aj po roku 

Lada 2171 Priora 1,6 MPi (2013), Lada 2105 v regenerácii (1985), Lada 21044 1,9 MPi (1998), Škoda Felícia 1,3 SPi - 40kw (1996), 2 x Babetta 210 (1984,1988), Simson 70 ccm (1989), Zetor 4011 (1966)
Re: Majova 2172
tak ale aspon je blok uz po vybruse 
ved uz sa do toho idem seriozne pustit

ved uz sa do toho idem seriozne pustit

21043(reinkarnacia), 2105 1.3k(svagrov), 2110 1.5 16V, Niva(rozobrata), Chevy Niva 1.7i, Priora1,8+, BMW e36 328iA, Fiat Tempra 2.0i.e, 4x4
Re: Majova 2172
Tak Majo už konečne našiel hlavu a seriozne sa do toho pustil, samozrejme musim byt pri tom 

Lada 2171 Priora 1,6 MPi (2013), Lada 2105 v regenerácii (1985), Lada 21044 1,9 MPi (1998), Škoda Felícia 1,3 SPi - 40kw (1996), 2 x Babetta 210 (1984,1988), Simson 70 ccm (1989), Zetor 4011 (1966)
Re: Majova 2172
Bez teorie niet praxe 

Lada 2171 Priora 1,6 MPi (2013), Lada 2105 v regenerácii (1985), Lada 21044 1,9 MPi (1998), Škoda Felícia 1,3 SPi - 40kw (1996), 2 x Babetta 210 (1984,1988), Simson 70 ccm (1989), Zetor 4011 (1966)
Re: Majova 2172


super
Wartburg 353 Ja Hans! Das Auto! (KIA)
Škoda Favorit 135 H Black Deamon (Retired)
Renault Megane 1.6 66kw/90k Classic (Predané)
Lada Granta 1.6 72kw/98k Liftback - Polárna Líška, (Predaná)
Lada Vesta 1.6 16v ? kw/ ? k Sedan - Eskymka - Posledná biela kráľovná
Škoda Favorit 135 H Black Deamon (Retired)
Renault Megane 1.6 66kw/90k Classic (Predané)
Lada Granta 1.6 72kw/98k Liftback - Polárna Líška, (Predaná)
Lada Vesta 1.6 16v ? kw/ ? k Sedan - Eskymka - Posledná biela kráľovná